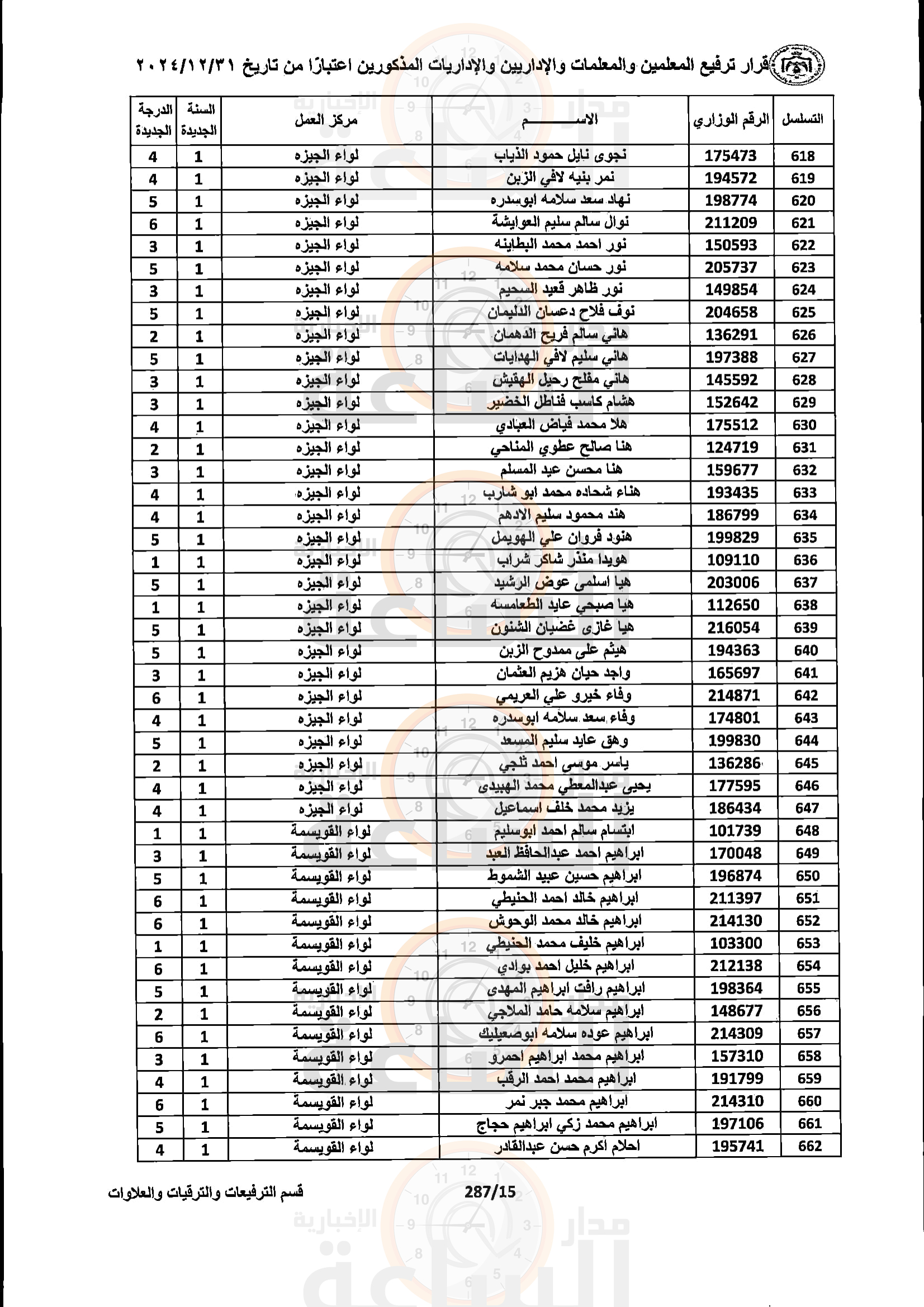
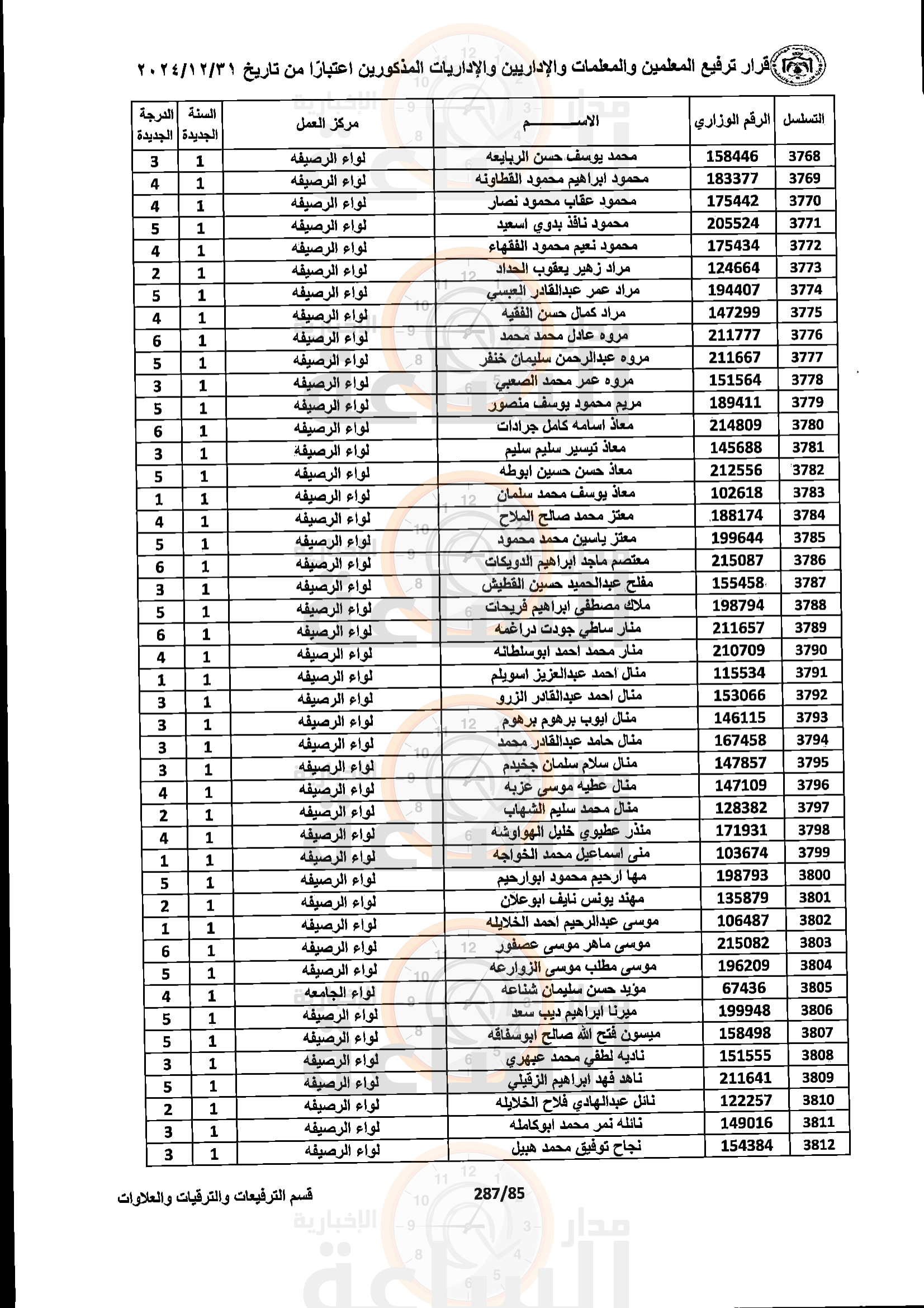
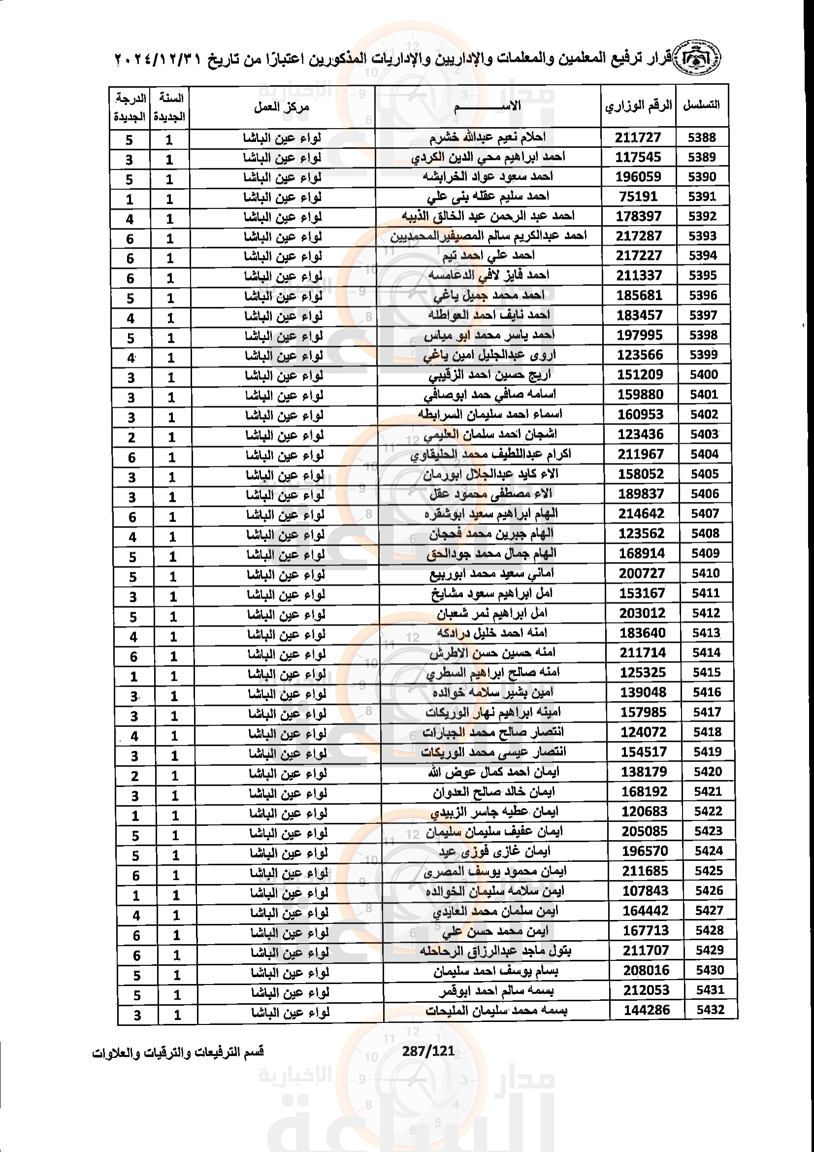
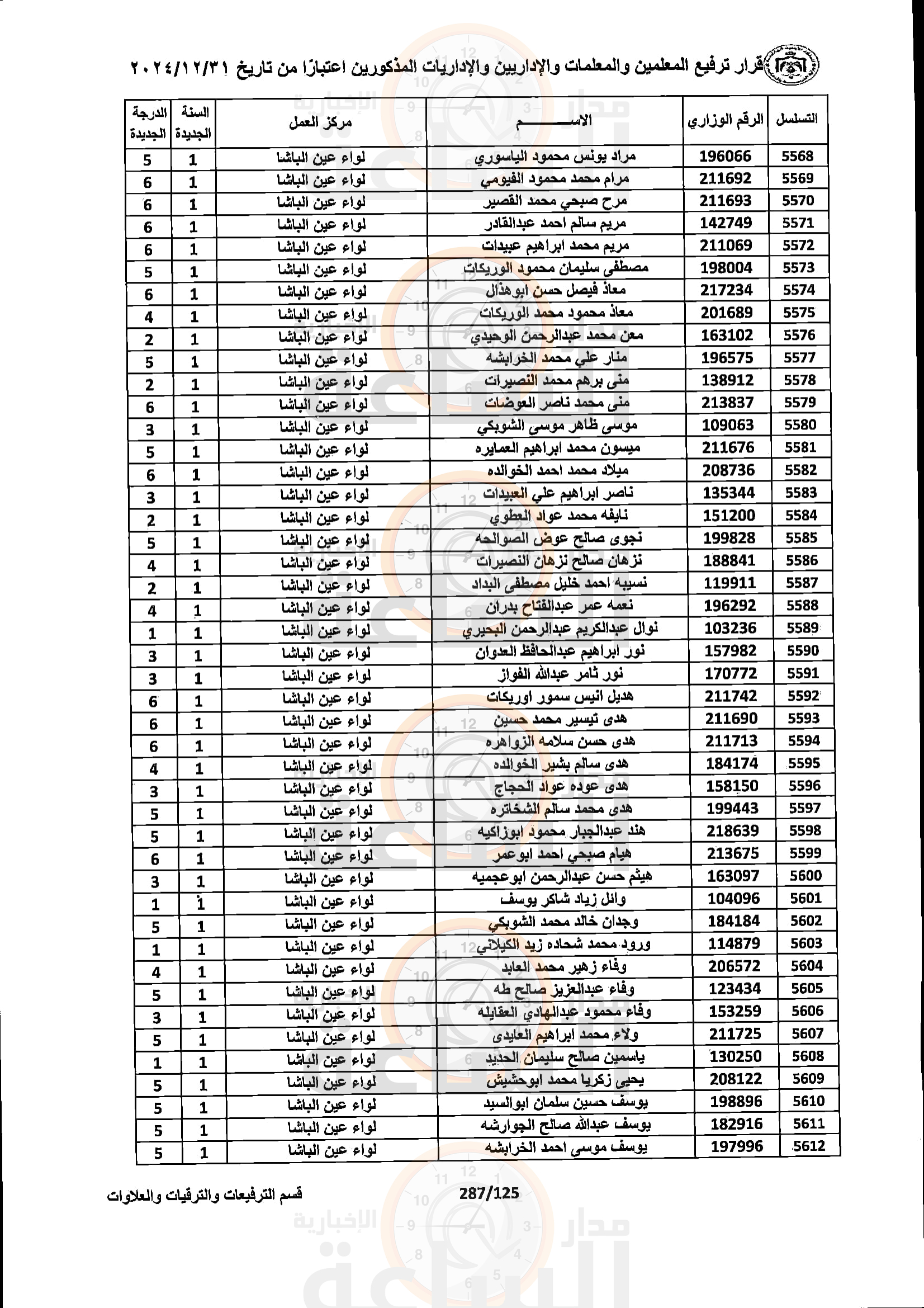
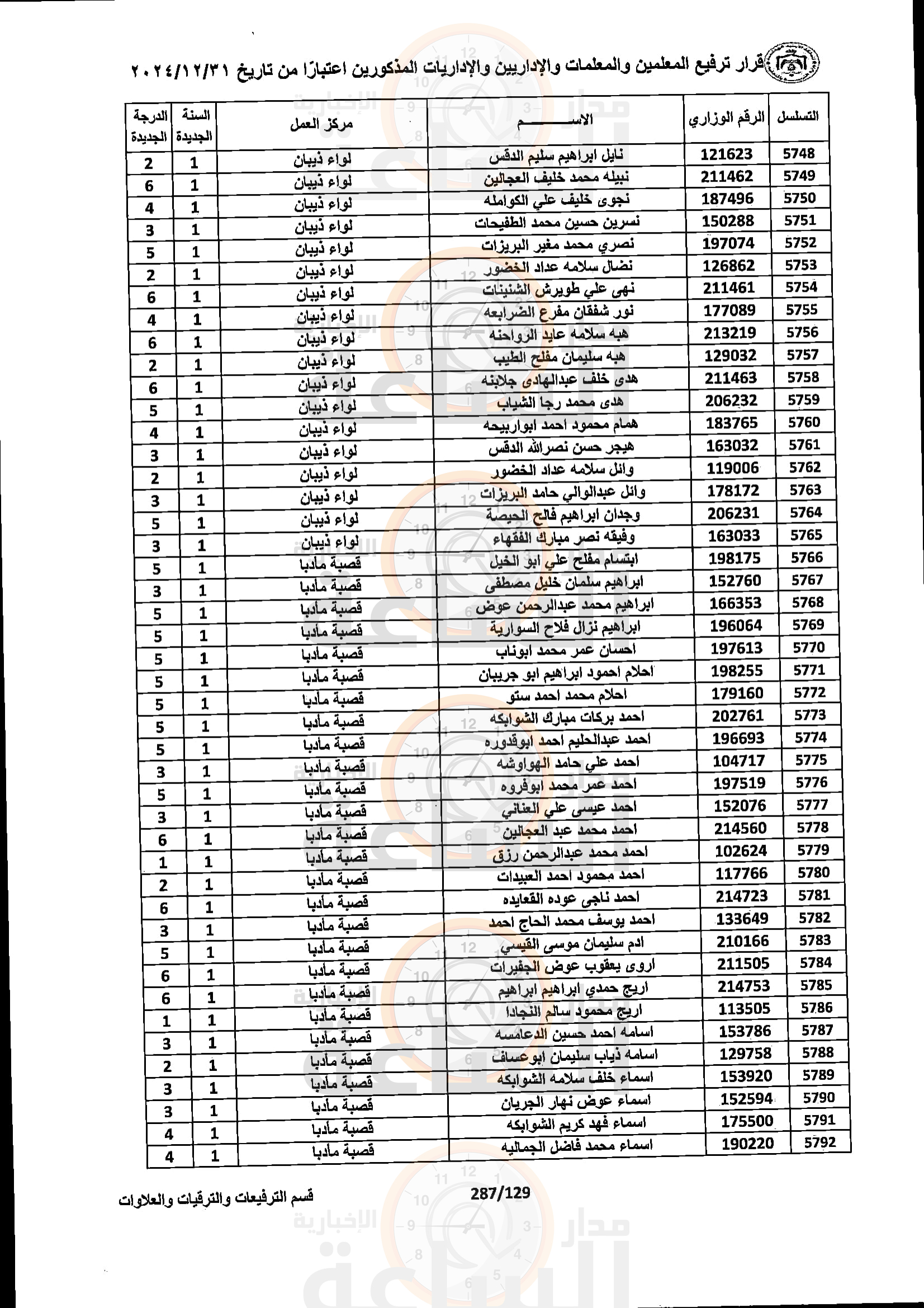
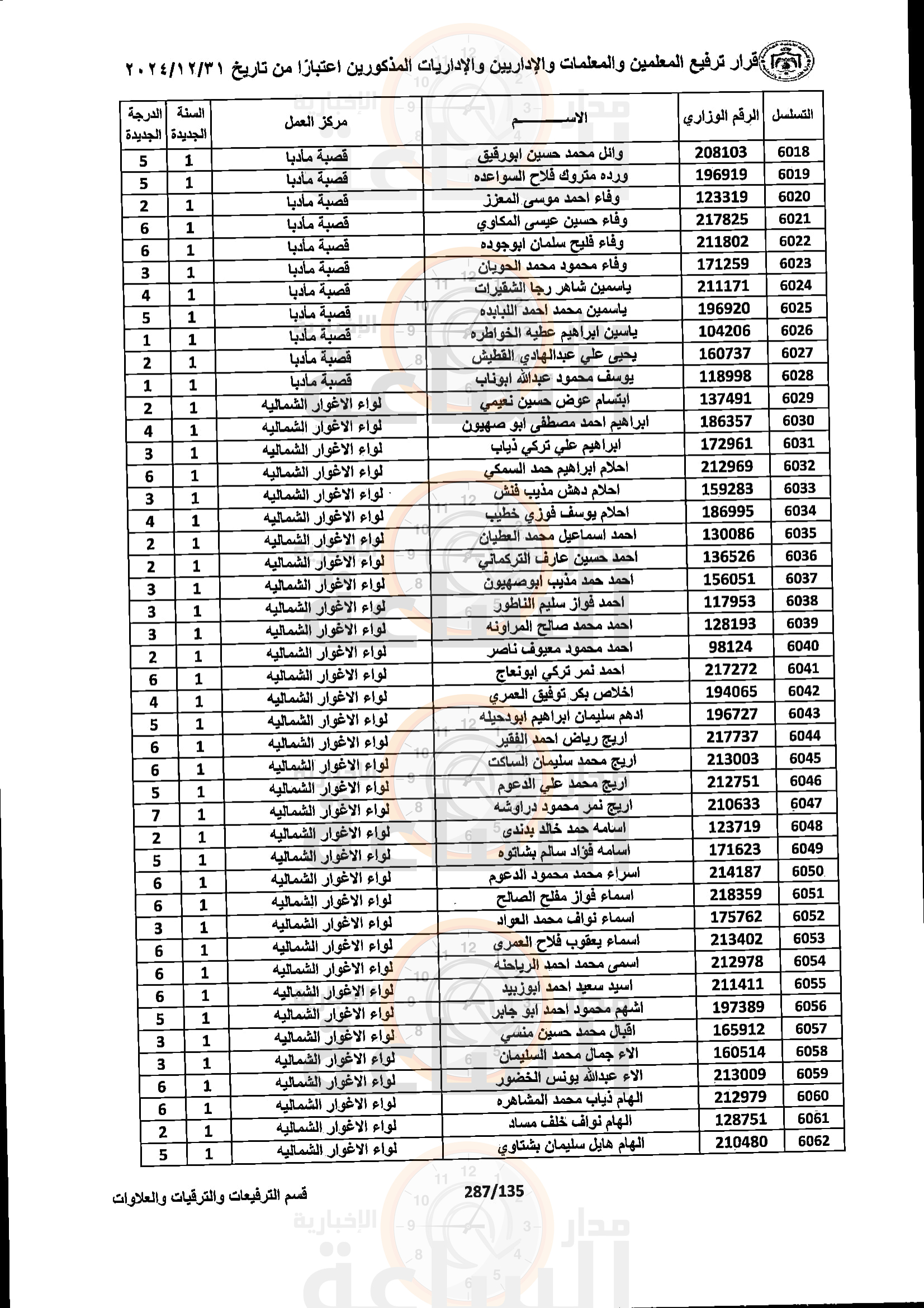
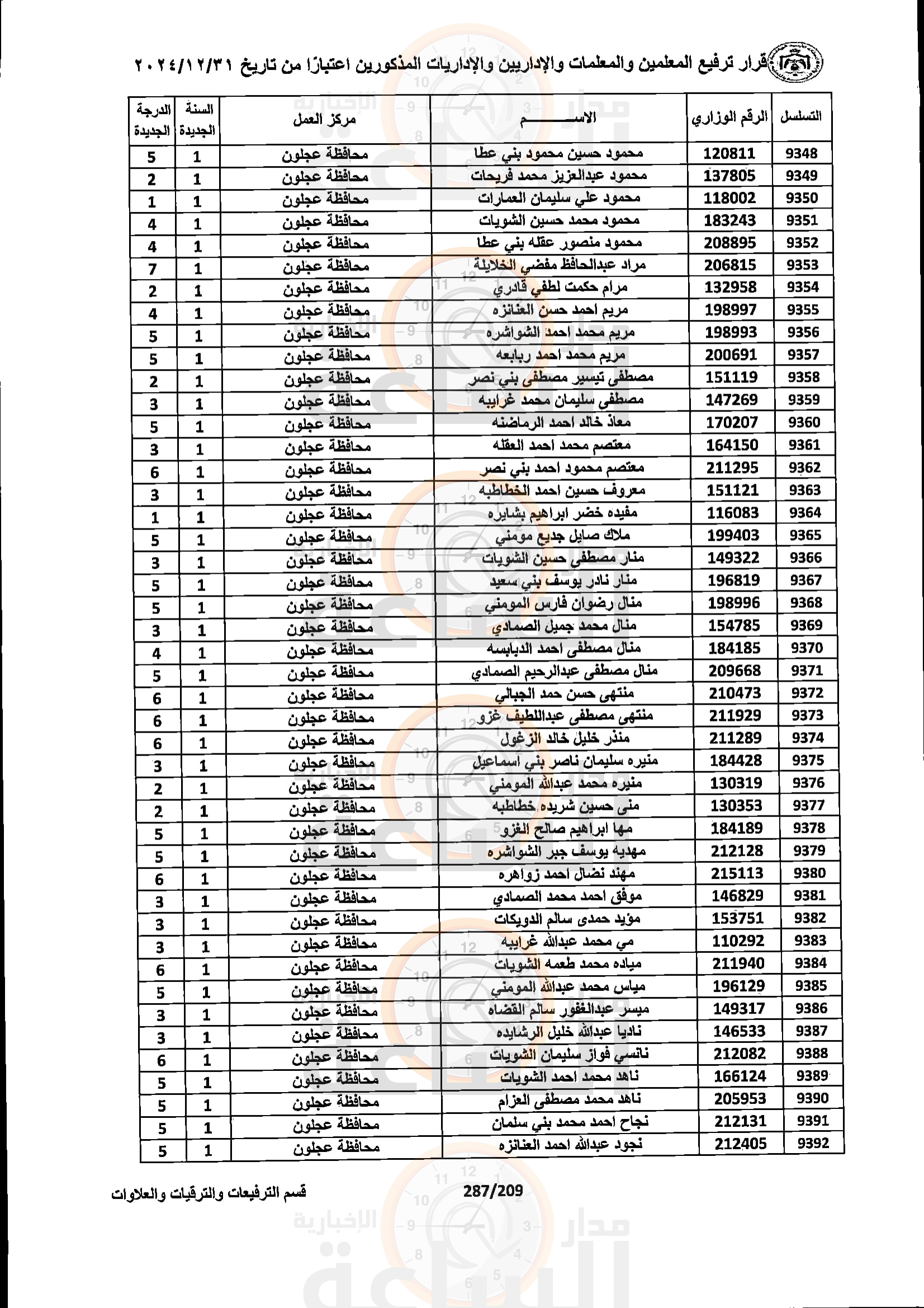
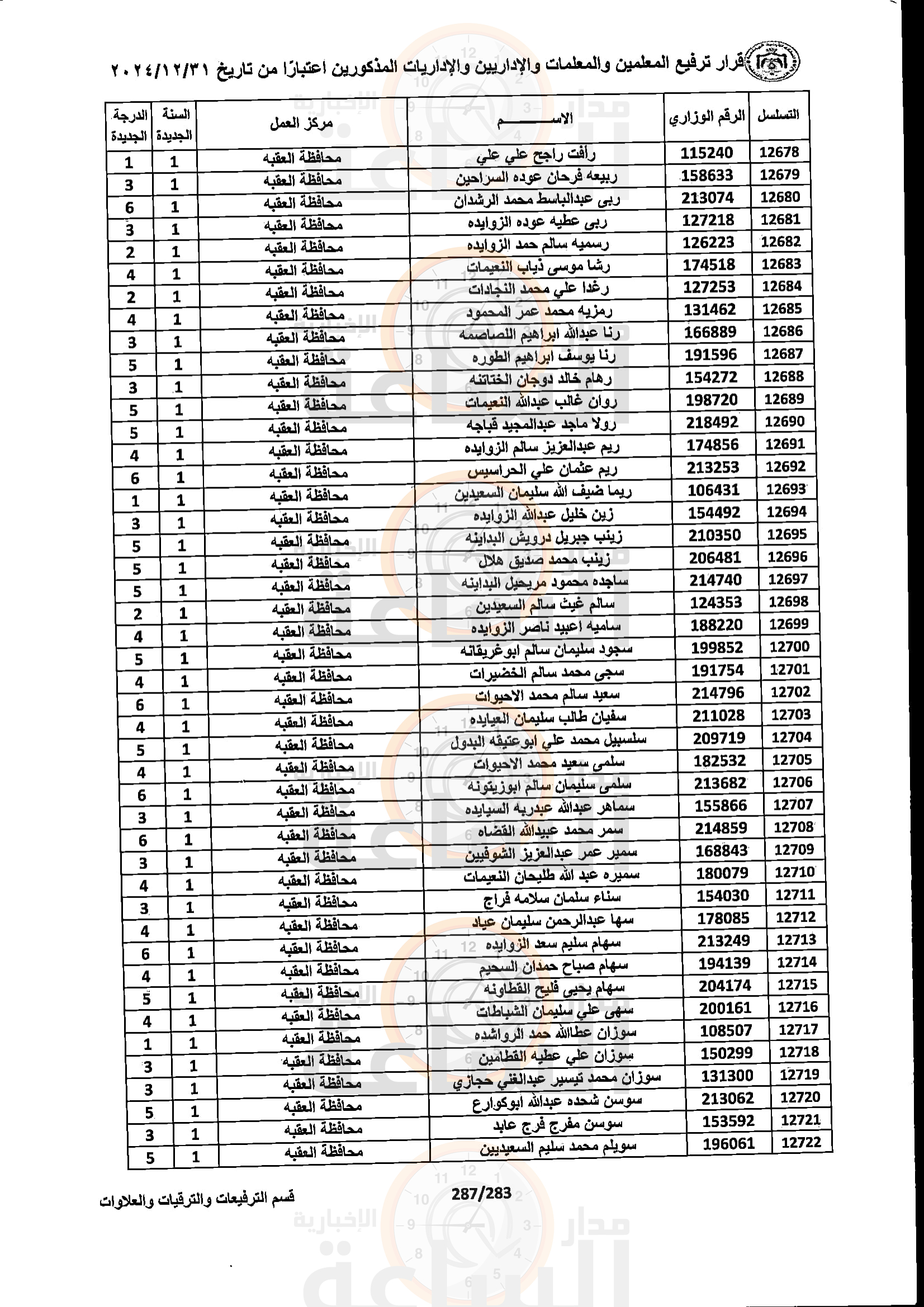
مدار الساعة - أعلنت وزارة التربية والتعليم قوائم المعلمين والمعلمات والإداريين والإداريات المستحقين للترفيع الوجوبي، وفقا للأسس المعتمدة لهذه الغاية.
وبينت الوزارة أن الترفيعات الوجوبية شملت 12877 معلمًا ومعلمة وإداريًا وإدارية، حيث يتم ترفيعهم إلى أدنى مربوط الدرجة التالية لدرجاتهم الحالية اعتبارًا من ٣١/١٢/٢٠٢4
ولفتت إلى أن القائمة تضمنت الترفيعات الوجوبية لـ 12337 من الفئة الأولى؛ فيما شملت ترفيع 540 من الفئة الثانية.
وهنأ وزير التربية والتعليم الدكتور عزمي محافظة الزملاء الذين شملتهم الترفيعات، متمنيا لهم دوام التوفيق ومزيدًا من العطاء والتميز.
وتاليا أسماء المرفعين:












































































































































































































































































































