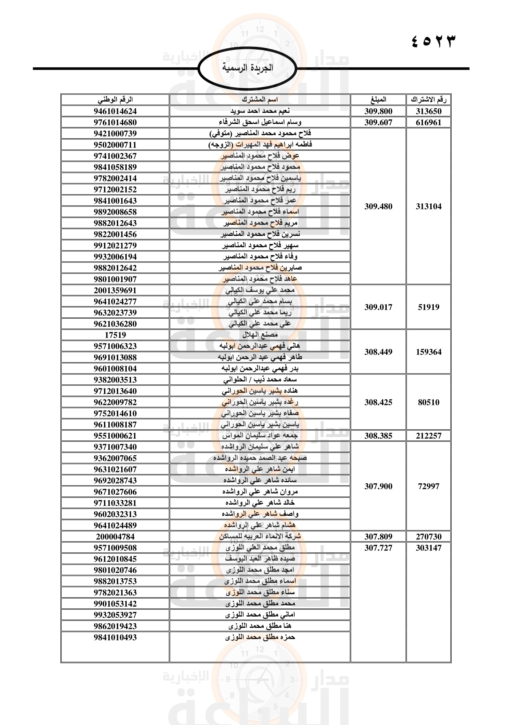
مدار الساعة - طالب امين عام سلطة المياه بشار بطاينة التالية اسماؤهم المكلفين بتسديد المبالغ المتحققة عليهم لخزينة سلطة المياه / عقد إدارة مياه الكرك، والآبار الخاصة، وشركة مياهنا الزرقاء وشركة مياهنا عمان وتخلفوا عن تسديدها رغم اشعارهم بذلك ومقدار المبالغ المطلوبة من كل واحد منهم، وفي حال تخلفهم عن الدفع خلال 60 يوما من تاريخ نشر هذا الاعلان في الجريدة الرسمية ستتخذ اجراءات الحجز على الاموال حسب الاصول.
وتاليا الاسماء:























































































































