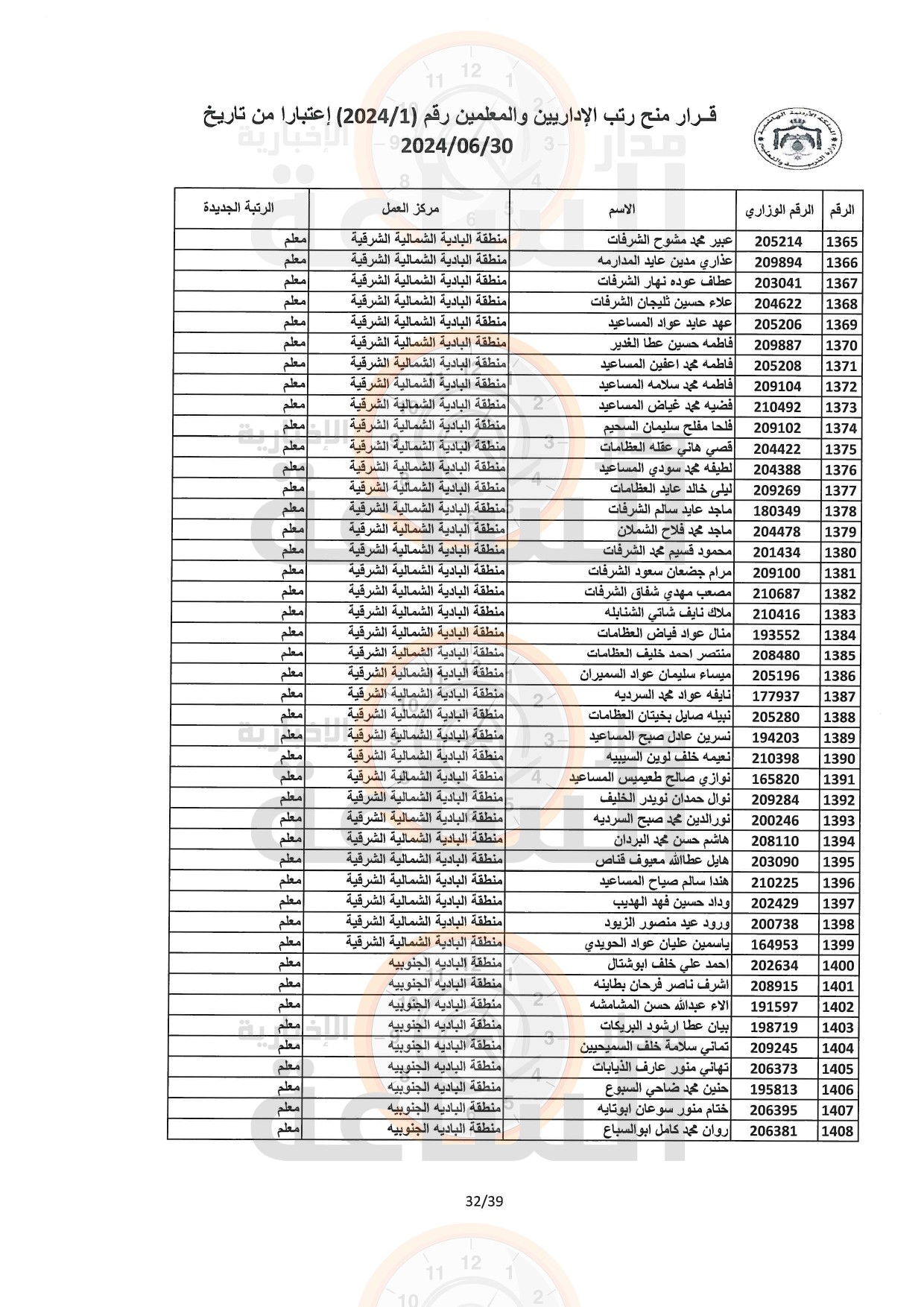
مدار الساعة - أعلنت وزارة التربية والتعليم قوائم الترقية لرتب المعلمين والإداريين وفق الأسس المعتمدة لهذه الغاية.
وبينت الوزارة أن الترقيات شملت (4606) معلمًا ومعلمة وإداريا وإدارية.
وأضافت الوزارة أن الترقيات شملت جميع الرتب؛ حيث تقرر ترقية (2122) لرتبة معلم مساعد/ إداري تربوي مساعد، و(1685) لرتبة معلم/ مساند تربوي، و(595) لرتبة معلم أول/ إداري تربوي أول، و(191) لرتبة معلم خبير/ إداري تربوي خبير، و(13) لرتبة معلم قائد/ إداري تربوي قائد.
وهنأ وزير التربية والتعليم الدكتور عزمي محافظة الزملاء الذين شملتهم الترقيات، متمنيا لهم مزيدًا من التقدم والتميز.
وتاليا تنشر مدار الساعة الأسماء:





















































































































